DOI:10.22201/fq.18708404e.2019.1.64601

Algoritmo de Matlab® para calcular isotermas de adsorción de Langmuir de ácidos carboxílicos sobre carbón activado o Amberlite IRA 67 como adsorbentes sólidos

Yovanny Morales Hernández[a*], Yuly Natalia Cajamarca García[a] y Jaime Eduardo Arturo Calvache[a]

Resumen

Se desarrolla un algoritmo que permite predecir el comportamiento de adsorción mediante la obtención de isotermas de adsorción de Langmuir a partir de datos experimentales encontrados en la literatura de capacidad de adsorción vs. concentraciones en el equilibrio, los cuales serán ajustados por medio de una regresión lineal ejecutada mediante Matlab®. Este algoritmo es aplicado para comparar la adsorción de ácido fórmico y acético sobre carbón activado o Amberlite IRA-67 definiendo las isotermas de adsorción de Langmuir. El carbón activado es un adsorbente industrial comúnmente utilizado, Amberlite IRA-67 es una resina poliacrílica débilmente básica con un grupo funcional amina terciaria. El resultado de esta comparación evidencia que el carbón activo es más eficaz que la resina Amberlite IRA-67 al momento de adsorber los ácidos carboxílicos estudiados.

Palabras clave:

Adsorción, Isoterma, Langmuir

Matlab® Algorithm for calculating Langmuir adsorption isotherms of carboxylic acids on activated carbon or Amberlite IRA 67 as solid adsorbents

Abstract

An algorithm is written to predict the adsorption behavior by obtaining Langmuir adsorption isotherm parameters from experimental data found in the scientific literature, which will be adjusted by means of a linear regression executed in Matlab®. This algorithm is applied to compare the adsorption of formic and acetic acid on activated carbon and Amberlite IRA-67 defining the Langmuir adsorption isotherms. Activated carbon is a commonly used industrial adsorbent, Amberlite IRA-67 resin is a weakly basic polyacrylic resin with a tertiary amine functional group. The result of this comparison shows that activated carbon is more effective than Amberlite IRA-67 resin when adsorbing the carboxylic acids studied.

Keywords:

Adsorption, Isotherm, Langmuir




Introducción

Los ácidos carboxílicos son de gran utilidad en las industrias químicas, farmacéuticas, petroquímicas y alimentarias, sin embargo, en el proceso de producción, la recuperación de estos ácidos carboxílicos a partir de caldos fermentados presenta un problema de separación importante debido a la naturaleza compleja del caldo fermentado y a la alta afinidad de los ácidos con el agua. Los métodos de recuperación que utilizan adsorbentes sólidos y selectivos han estado involucrados en la recuperación de ácido láctico (Uslu, 2009). En los últimos años, la cantidad de ácidos carboxílicos obtenidos por métodos biotecnológicos ha aumentado, la adsorción o intercambio de iones ha sido una tecnología confiable a la hora de hacer la respectiva recuperación y purificación de dichos ácidos. Los intercambiadores de iones débilmente básicos se usan frecuentemente para la recuperación de ácido carboxílico a partir de una solución acuosa o caldo de fermentación.

Las isotermas de adsorción logran representar una manera de poder seleccionar el adsorbente adecuado en un sistema de adsorción, pues brindan propiedades importantes que establecen la utilidad del adsorbente como lo es la capacidad de adsorción y selectividad del adsorbente cuando hay presencia de mezcla multicomponente; otras como cinética de adsorción que incluyen velocidad de adsorción y regeneración no están incluidas en este estudio; aunque la selectividad no está incluida en este estudio, los parámetros que brindan las isotermas de adsorción son importantes para poder hacer un análisis en un sistema multicomponente (Crittenden et al., 1985), de igual manera las isotermas y sus parámetros son fundamentales para realizar modelamiento predictivo en procesos de adsorción que usan las ecuaciones de flujo y de especie que gobiernan este proceso.

Se han realizado estudios para comparar la eficiencia de la adsorción de ácido láctico sobre resina Amberlite IRA-67 y carbón activado (Bayazit S.S., Inci I., Uslu H.,2011), las resinas actualmente se vienen utilizando gracias al excelente comportamiento en los procesos de adsorción, sin embargo, no existen muchos reportes sobre la utilización de estas resinas en ácidos carboxílicos. La isoterma de Langmuir permite encontrar la carga máxima (capacidad límite) del adsorbente que ocurre cuando la monocapa está completa, lo que proporciona la posibilidad de ver el comportamiento de cada uno de los adsorbentes y así predecir el adsorbente que se ajuste mejor a las condiciones deseadas, el cual será el que tenga una mejor capacidad de adsorción.

Mediante el método de los mínimos cuadrados se pueden ajustar los datos experimentales de capacidades de adsorción en el equilibrio y las concentraciones del equilibrio para así determinar la función continua que permite encontrar las capacidades máximas de adsorción de los adsorbentes sólidos y los parámetros K de la ecuación de la isoterma de adsorción de Langmuir. En esta época los ingenieros y científicos en general interesados en obtener estos datos cuentan con numerosas herramientas computacionales para llevar a cabo los análisis de regresión que exige el método de los mínimos cuadrados. Aquí se mostrará la utilidad de un lenguaje interpretado de alto nivel Matlab® con el fin de completar esta tarea.

Objetivos

Explicar cómo, a partir de un algoritmo de solución de isotermas de adsorción, se puede realizar un análisis predictivo para encontrar las concentraciones en el equilibrio a partir de la obtención de los parámetros de adsorción en ácidos carboxílicos con diferentes adsorbentes sólidos, desarrollando detalladamente la utilización de la técnica de regresión lineal mediante el uso de la herramienta Matlab®, dichos parámetros servirán para ejecutar modelos de adsorción multicomponente e implementar los términos fuentes en un modelo de adsorción CFD. El propósito es poder utilizar este estudio teórico en futuras experimentaciones donde el objetivo será recuperar y aprovechar estos ácidos orgánicos.

Materiales y métodos

Adsorbentes sólidos

En la tabla 1 se listan las propiedades de dos adsorbentes sólidos que se han usado en la adsorción del ácido láctico y cuyos datos experimentales servirán de entrada para evaluar el algoritmo que se desarrolla en este estudio, dichas propiedades fueron tomadas de la literatura (Arcanjo, Fernandes, & Silva, 2015; Liu, Liu, Liu, & Mao, 2012). El carbón activo es uno de los adsorbentes sólidos más comunes, y la Amberlite IRA-67 una resina macroporosa de intercambio iónico.

Tabla 1. Propiedades del adsorbente: Resina Amberlite IRA-67 y carbón activado

Adsorbente

Naturaleza química

Tamaño de partícula (um)

Matriz

Referencia

Amberlite IRA-67

Resina poliacrílica de tipo gel débilmente básica con un grupo funcional amina terciaria.

600

Gel

(Arcanjo, Fernandes, & Silva, 2015)

Adsorbente

Tamaño de partícula (mesh)

Área superficial específica (m2/g)

Volumen específico de poro (ml/g)

Referencia

Carbón activo

14-35

820

0,56

(Liu, Liu, Liu, & Mao, 2012)

Modelo matemático

Isoterma de Langmuir

El modelo de adsorción de Langmuir es el más simple para describir la adsorción de un solo componente sobre algún material sólido, fue originalmente desarrollada para representar la quimisorción. La isoterma de Langmuir intenta explicar el fenómeno como una adsorción monomolecular en donde existe equilibrio adsorción-desorción y gracias a este no hay formación de multicapas. Esta isoterma describe la carga máxima (capacidad límite) del adsorbente (Foo & Hameed, 2010).

La isoterma de Langmuir considera:

1. Temperatura constante.

2. Adsorción localizada (es decir solo en sitios definidos de la superficie).

3. Superficie homogénea y formación de una monocapa.

4. Que cada sitio de adsorción puede adherir sólo una molécula de adsorbato.

5. Energía de adsorción igual para todos los sitios de adsorción.

6. No existe interacción entre las moléculas adsorbidas.

En realidad, las suposiciones anteriores no se han comprobado en su totalidad al utilizar carbón activado, debido a su morfología y distribuciones energéticas, sin embargo, las suposiciones 5 y 6 probablemente se compensen entre sí, ya que las interacciones adsorbato-adsorbato aumentan al aumentar la cobertura, al mismo tiempo que las entalpias de adsorción disminuyen al aumentar la cobertura (Marsh & Rodríguez-Reinoso, 2006), por otro lado, la ecuación de Langmuir ha sido ampliamente utilizada para describir la adsorción sobre carbón activado pues originalmente esta isoterma fue desarrollada para representar la adsorción de un sistema gas-sólido en donde el adsorbente sólido era carbón activado (Castellar, Angulo, Zambrano, & Charris, 2013).

La isoterma de Langmuir es estudiada para encontrar las características de equilibrio de adsorción y esta expresada por la ecuación (1) (Langmuir, 1918):

                                                               (1)

Donde k y qm denotan el coeficiente de equilibrio de la isoterma de Langmuir y la capacidad máxima de adsorción respectivamente. C es la concentración de ácido de la fase de solución en el equilibrio y q es la concentración de ácido de la fase sólida en el equilibrio. Los valores de k y qm pueden encontrarse a partir de datos experimentales usando una linealización de la ecuación (1), como sigue la ecuación (2), (Ho, 2004):

                                                               (2)

Algoritmo de solución para encontrar los parámetros de la isoterma de Langmuir

La figura 1 muestra el algoritmo para ajustar los datos experimentales utilizando la ecuación de Langmuir linealizada (2) y así obtener los datos k y qm de la isoterma adsorción de Langmuir. Los datos de entrada son datos experimentales de las concentraciones en el equilibrio C y la cantidad de ácido adsorbido para cada concentración en el equilibrio q (tabla 2) tomados de la literatura, (Adekola & Oba, 2017; Ganguly & Goswami, 1996; Liu, Liu, Liu, & Mao, 2012; Uslu, 2009; Uslu, İnci, & Bayazit, 2010). Dichos datos se almacenan como vectores, lo cual se hace desde la ventana de comando de la herramienta Matlab®, tal como se observa en la figura 2, lo cual se debe hacer después de haber creado los correspondientes scripts que tendrán las funciones encargadas de ejecutar la linealización mediante la aplicación de la ecuación 2, tal y como lo indican las figuras 3 y 4. Finalmente se llama la función de la isoterma de Langmuir en la ventana de comando como se observa en la figura 5, para así obtener por medio de la pendiente y la intersección los coeficientes k y qm de las respectivas graficas de cada conjunto de datos experimentales (figuras 6, 7, 8 y 9).

Adsorbente: Carbón activo

Ácido acético

Ácido fórmico

C (g/L)

q (mg/g)

C (g/L)

q (mg/g)

4,16

89,59

0,63

12,00

6,47

102,54

1,67

24,00

10,16

119,20

5,00

32,00

14,09

127,49

7,50

40,00

18,48

137,51

9,17

48,00

30,95

154,27

14,58

52,00

Adsorbente: Amberlite IRA67

Ácido acético

Ácido acético

C (g/L)

C (g/L)

C (g/L)

C (g/L)

0,75

1,51

4,16

6,43

1,66

3,22

6,47

9,40

5,76

9,87

10,16

13,48

8,30

13,23

14,09

17,10

18,48

23,08

18,48

20,47

32,55

31,29

30,95

27,49

Tabla 2. Datos experimentales de concentración en el equilibrio y carga del adsorbente

Figura 1. Algoritmo para ajustar los datos experimentales- Isoterma de Langmuir. Fuente: propia

Figura 2. Almacenamiento de vectores (C,q) en la ventana de comando. Fuente: propia

Figura 3. Script 1, función de linealización. Fuente: propia

La figura 3 muestra el Script encargado de la regresión lineal en la cual se usa la función polyfit encargada de calcular la regresión lineal que predice y desde x; la función polyval evita escribir la ecuación de ajuste, pues llama a para predecir y, llamando al resultado yfit. El coeficiente de determinación o R2 (rsq) mide la bondad del ajuste, este coeficiente es de gran importancia pues indica qué tan cerca los valores que obtiene al ajustar un modelo coinciden con la variable dependiente que el modelo pretende predecir.

Figura 4. Script 2, función Langmuir. Fuente: propia

Figura 5. Ejecución de la función Langmuir en la venta de comando. Fuente: propia

Resultados y discusión

Se ajustaron los datos experimentales a la ecuación de Langmuir y a partir de ellos se obtuvieron los parámetros de esta ecuación ejecutando el algoritmo de la figura 1 en MATLAB R2012b, los datos experimentales fueron tomados de la literatura para cada ácido y cada adsorbente.

Figura 6. Isoterma Langmuir para la adsorción de ácido acético, adsorbente: Carbón Activo

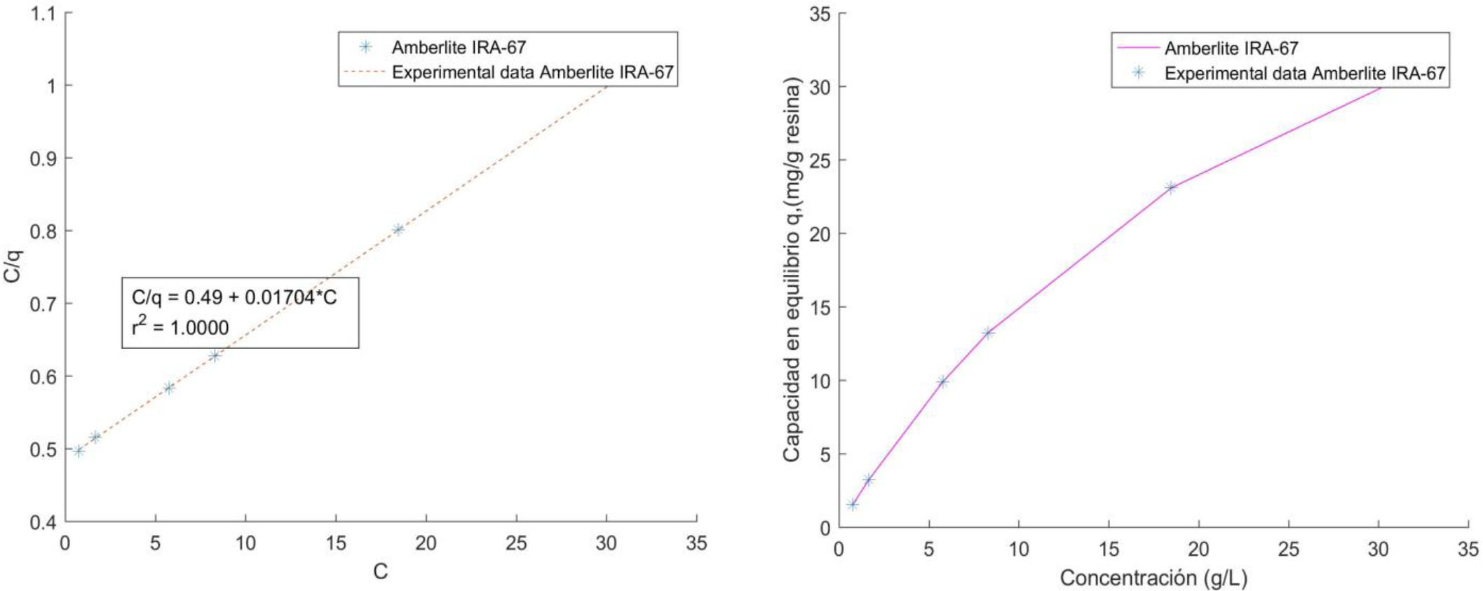
Figura 7. Isoterma Langmuir para la adsorción de ácido acético, adsorbente: Amberlite IRA 67

Figura 8. Isoterma Langmuir para la adsorción de ácido fórmico, adsorbente: Carbón Activo

Figura 9. Isoterma Langmuir para la adsorción de ácido fórmico, adsorbente: Amberlite IRA 67

Las isotermas de adsorción de Langmuir obtenidas permiten analizar el comportamiento de cada adsorbente respecto a la capacidad de adsorción, en las figuras (6-9) se pueden observar los coeficientes de determinación R2 que determinan la bondad del ajuste, aquí se pude evidenciar que en todos los casos los datos se ajustan a la ecuación de Langmuir, pues se demuestra que dicha ecuación predice entre el 99-100% de la varianza en la variable y.

Ácido fórmico

Resina

Carbón activado

Amberlite IRA 67

qm, (mg/g)

72,93

55,87

K, (mg/L)

0,21

0,03

R2

0,97

1

Ácido acético

Resina

Carbón activado

Amberlite IRA 67

qm, (mg/g)

174,84

58,76

K, (mg/L)

0,22

0,04

R2

0,99

1

Tabla 3. Resultados de isotermas de Langmuir para la adsorción de ácido láctico por diferentes adsorbentes

Figura 10. Capacidad de las resinas para ácido fórmico y ácido acético (concentración inicial 37g de ácido fórmico/L, 37g de ácido acético/L)

Tomando una concentración en el equilibrio de 37 g/L para los datos ajustados de cada ácido se puede observar en la figura 10 que, para el ácido acético y fórmico, el comportamiento sobresaliente para el proceso de adsorción se presenta con el adsorbente sólido carbón activado, pues supera en un 85% y 55% para los ácidos acético y fórmico, respectivamente, la capacidad de adsorción de la resina Amberlite IRA-67. Esto quiere decir que el carbón activado puede adsorber mayor cantidad de ácido acético y fórmico por masa de material, esto gracias a sus características físicas tales como el volumen especifico del poro y el área superficial, pues estas influyen directamente en el proceso de adsorción, es claro observar que para la resina Amberlite IRA-67 las capacidades de adsorción no cambian significativamente dependiendo del ácido adsorbido mientras que para el carbón activado la diferencia es notable, esto conduce a que la naturaleza del adsorbato produce cambios relevantes en la capacidad de adsorción, con lo cual se puede inferir que el carbón activado tiene una afinidad mayor con el ácido acético que con el ácido fórmico, mientras que para la Amberlite IRA-67 las afinidades son similares con los dos ácidos estudiados.

Conclusiones

La precisión y confiabilidad que brinda la ejecución de algoritmos en la herramienta Matlab® es fundamental para obtener resultados de alto nivel, el código y la forma de solucionar el algoritmo son decisivos a la hora de aplicar esta herramienta en diferentes problemas de compleja naturaleza.

El algoritmo ejecutado en Matlab® proporciona los parámetros necesarios de la isoterma de Langmuir para realizar un análisis adecuado respecto a la capacidad de adsorción de cada adsorbente sólido cuando estos están en contacto con el ácido acético y fórmico. Después de analizar los datos experimentales y de ajustar dichos datos se puede observar que el adsorbente que proporciona un comportamiento destacado para remover estos ácidos cuando están en solución acuosa es el carbón activo, gracias a sus propiedades físicas.

Referencias

Adekola, F., & Oba, I. (2017). Biosorption of formic and acetic acids from aqueous solution using activated carbon from shea butter seed shells.  Applied Water Science, 7(6), 2727-2736.

Arcanjo, M., Fernandes, F., & Silva, I. (2015). Separation of lactic acid produced by hydrothermal conversion of glycerol using ion-exchange chromatography. Adsorption Science and Technology, 33(2), 139-151.

Bayazit, S. S., Inci, I., & Uslu, H. (2011). Adsorption of lactic acid from model fermentation broth onto activated carbon and amberlite IRA-67. Journal of Chemical and Engineering Data, 56(5), 1751-1754.

Castellar, G., Angulo, E., Zambrano, A., & Charris, D. (2013). Equilibrio De Adsorción Del Colorante Azul De Metileno Sobre Carbón Activado Adsorption Equilibrium of Methylene Blue Dye on Activated Carbon. Cient, 16(1), 263–271.

Crittenden, J. C., Loper, S. W., Ari, M., Luft, P., Hand, D. W., & Oravltz, J. L. (1985). Prediction of Multicomponent Adsorption Equilibria Using Ideal Adsorbed Solution Theory. Environmental Science and Technology, 19(11), 1037–1043.

Foo, K. Y., & Hameed, B. H. (2010). Insights into the modeling of adsorption isotherm systems. Chemical Engineering Journal, 156(1), 2–10.

Ganguly, S. K., & Goswami, A. N. (1996). Surface diffusion kinetics in the adsorption of acetic acid on activated carbon. Separation Science and Technology, 31(9), 1267-1278.

Ho, Y. S. (2004).Selection of optimum sorption isotherm. Carbon, 42(10), 2115–2116.

Langmuir, I. (1918). The adsorption of gases on plane surfaces of glass, mica and platinum. Journal of the American Chemical Society, 40(9), 1361–1403.

Liu, B., Liu, S., Liu, T., & Mao, J. (2012). A novel granular activated carbon adsorption method for separation of levulinic acid from formic acid. Advanced Materials Research, 550-553, 1691-1695.

Marsh, H., & Rodríguez-Reinoso, F. (2006). Characterization of Activated Carbon. Activated Carbon, 143–242.

Uslu, H. (2009). Adsorption equilibria of formic acid by weakly basic adsorbent amberlite IRA-67: Equilibrium, kinetics, thermodynamic. Chemical Engineering Journal, 155(1), 320-325.

Uslu, H., İnci, İ, & Bayazit, Ş S. (2010). Adsorption equilibrium data for acetic acid and glycolic acid onto amberlite IRA-67. Journal of Chemical & Engineering, 55(3), 1295-1299.

Recepción: 11 de marzo de 2018. Aprobación: 27 de agosto de 2018


[a] Universidad América, Colombia. *Autor para correspondencia: yovanny.morales@profesores.uamerica.edu.co