DOI:10.22201/fq.18708404e.2020.1.70021
José Luís García García[1]
Resumen |
La estequiometría es uno de los conceptos más importantes, y también más difíciles de la química. En este artículo planteamos un mecanismo alternativo de entender la estequiometría en términos del uso las leyes de Avogadro, más allá de soluciones numéricas concretas. Este método permite separar soluciones analíticas generales de soluciones numéricas particulares. Esta separación permite acelerar el trabajo numérico en ejercicios o réplicas experimentales gracias a que la parte analítica ya queda estandarizada, y a que se puede aplicar un análisis dimensional acelerado que denominamos implícito. El uso de ecuaciones permite adicionalmente hacer más explícito el vínculo histórico entre la química de gases y la estequiometría. Se deja la puerta abierta para un estudio de campo comparativo entre este método analítico y el método de factores de conversión en los diferentes niveles de estudio de la química donde se emplea la estequiometría básica. |
Palabras clave: |
Estequiometría, avance de la reacción, reactivo limitante, gravimetría, titulación, química de gases. |
Stoichiometry’s algebra |
|
Abstract |
Stoichiometry is one of the most important, and also most difficult, concepts of chemistry. In this article we propose an alternative mechanism to understand stoichiometry in terms of the analytical use the laws of Avogadro, beyond concrete numerical solutions. This method allows to separate general analytical solutions from particular numerical solutions. This separation allows to accelerate the numerical work in exercises or experimental replicas thanks to the fact that the analytical part is already standardized, and also to an accelerated dimensional analysis that we call implicit. The use of equations allows to show the historical link between gas chemistry and stoichiometry. The door is open for a comparative field study between this analytical method and the conversion factor method at the different levels of chemistry study where basic stoichiometry is used. |
Keywords: |
Stoichiometry, reaction progress, limiting reagent, gravimetry, titration, gas chemistry. |
Introducción
En este artículo planteamos una alternativa para la solución de problemas numéricos estequiométricos con base en las leyes de Avogadro (Volumen a Moles (2); Partículas a moles (3)), y como esta alternativa podría ayudar a resolver problemas conceptuales típicos, como el análisis de la relación estequiométrica y el reactivo limitante (Dahsah & Coll, 2007). En química general, la estequiometría se considera el tema más difícil de dominar (Hand, Yang, & Bruxvoort, 2007), pues involucra conceptos que deben aplicarse de manera precisa para resolver situaciones numéricas (Dahsah & Coll, 2007). Una de las posibilidades para esta dificultad es que hay limitantes en los instrumentos matemáticos empleados, por lo que encontrar alternativas aumentaría la cantidad de herramientas para afrontar situaciones complejas.
Tabla 1.Tabla de nomenclatura y unidades de los símbolos y variables empleados en las ecuaciones.
|
Variable |
Símbolo de variable |
Unidades |
Variable |
Símbolo de variable |
Unidades |
|
Masa de una sustancia |
m |
g |
Factor de identificación de reactivo limitante |
Rl |
|
|
Cantidad de sustancia |
n |
mol |
Porcentaje en masa1 |
pm |
% |
|
Número de partículas |
N |
adimensional |
Concentración molar |
C |
|
|
Masa molar |
M |
|
Presión |
P |
atm |
|
Número de Avogadro |
Na |
|
Volumen |
V |
L |
|
Coeficiente estequiométrico |
v |
adimensional |
Temperatura de una sustancia cualquiera |
T |
K |
|
Volumen molar |
Vm |
|
Constante de proporcionalidad cualquiera |
k |
Variable |
1 Empleamos como símbolo para el porcentaje en masa (pm) en lugar de (%m) o (%m - m) debido a que el porcentual también está presente como su unidad.
Por tradición, los problemas numéricos se resuelven por el método de factores de conversión y reglas de tres (Chang & Overby, 2011; Matamála, M., & Gonzalez, 1976), los cuales son métodos numéricos/aritméticos, cuyas soluciones no son universales o extrapolables fácilmente a situaciones homólogas, aun cuando son poderosos instrumentos de análisis dimensional. Los estudiantes intentan memorizar, paso a paso, el procedimiento de resolución, basándose en el encadenamiento de unidades, pero no analizan el significado de cada uno de los pasos, además de que cursos posteriores como fisicoquímica, si emplean expresiones algebraicas (Atkins, De Paula, & Keeler, 2018). El método numérico de factores de conversión no permite una narrativa histórico-epistemológica (Figueira, 1988) sobre autores, contextos históricos, controversias, experimentos, o consecuencias de la dilatada historia de la estequiometría, lo cual es tan cierto hoy, como lo fue en 1988, solo basta mirar textos antiguos como (Matamála, & Gonzalez, 1976) y compararlos con textos modernos (Chang & Overby, 2011).
El método para resolver problemas estequiométricos es completamente diferente del que empleamos para resolver situaciones físicas o de química de gases, donde tenemos leyes que describen las situaciones analíticas y numéricas (Oñate, 2000); además que narran la historia de la química. La hipótesis de este trabajo se basa en la posibilidad de construir una estequiometría básica basada en leyes fundamentales de la química, tal y como ocurre en situaciones de gases, que adicionalmente nos permita narrar una parte importante de la historia de la química.
Entre un mundo molar y otro molecular
Nuestra historia inicia con Amadeo Avogadro, pero no por la constante, sino por su hipótesis (Avogadro, 1811) iguales volúmenes de gases contienen igual número de partículas en condiciones estándar, la cual puede interpretarse como:
|
(1) |
Vx = k ✳ Nx |
El problema con (1) radicó en que Avogadro no contaba con la tecnología para calcular la constante que relaciona linealmente el número de moléculas con los volúmenes del gas (k), después de todo, el número de moléculas era algo que no podía medirse. Avogadro es más famoso por su ley:
|
(2) |
Vx = Vm ✳ nx |
Siendo conocida tradicionalmente como la ley de Avogadro, la cual relaciona el volumen de un gas y su cantidad de sustancia a través de una constante denominada el volumen molar (Vm). La combinación de la hipótesis de Avogadro (1) con la ley de Avogadro (2) nos da una ecuación importante actualmente debido a que su constante ha sido llevada al nivel de universal en 2019 (BIPM, 2018):
|
(3) |
Nx = Na ✳ nx |
La constante de (3) es el número de Avogadro (Na) cuya primera definición numérica fue proporcionada por Jean Perrin (1911), quien la nombró en honor a Amadeo Avogadro, en base a una propuesta sobre el movimiento Browniano de Albert Einstein (1905). La expresión (3) la denominaremos como la definición del número de Avogadro y vincula el mundo molar macroscópico (nx) con el mundo molecular microscópico (Nx) (Jensen, 2004).
Interpretaciones de los coeficientes estequiométricos
|
(4) |
2H2 + O2 → 2H2O |
La ecuación química (4) tiene cuatro modos de interpretar sus coeficientes estequiométricos, la interpretación molar (n), la interpretación molecular (N), la interpretación de volúmenes de combinación (V), y la interpretación adimensional (v). El concepto de coeficiente estequiométrico surgió de los experimentos con combinaciones de gases, donde estos valores eran los volúmenes de combinación, y, por ende, sus unidades serían volúmenes de gases:
|
(5) |
V(combinación)= v |
Sin embargo, con el desarrollo del concepto de mol y la necesidad de medir sustancias no volátiles, los coeficientes estequiométricos pasaron a ser deducidos a partir de la masa macroscópica en gramos mediada a través de la definición de la masa molar, la cual por varios años dependió del volumen molar:
|
(6) |
|
De hecho, es con unidades de cantidad de sustancia que interpretamos los coeficientes estequiométricos en la estrategia de factores de conversión (ver Chang 2011: 3.8 Amounts of Reactants and Products). Igualar los coeficientes a las cantidades de sustancia provocan ciertas confusiones, pues para una determinada sustancia tendremos dos cantidades con la misma unidad (mol), la cantidad dada en el ejercicio para convertir, y la cantidad dada por los coeficientes estequiométricos, la cual sigue la siguiente estructura:
|
(7) |
|
La tercera interpretación es la molecular, si lográramos aislar las cantidades mínimas de moléculas para completar un solo ciclo de una reacción dada, los coeficientes estequiométricos tomarían la forma de la cantidad de moléculas de cada uno de los reactivos y productos.
|
(8) |
N(minimo en reacción)= v |
Aquí el problema se viene con las unidades, según (BIPM, 2018) un mol es igual al valor numérico de (Na) entidades elementales especificadas, por lo que podría interpretarse que, sus unidades pueden ser cualquier tipo de partículas. Sin embargo, en la literatura se dice que el número de partículas es una unidad adimensional, lo cual se refuerza por el hecho de que textos de físico-química toman el coeficiente estequiométrico también como una entidad adimensional sin unidades (Atkins et al., 2018). Desde nuestro punto de vista, la variable número de partículas debería tener alguna unidad general, pues esto ayudaría a interpretar dimensionalmente situaciones como el análisis de reactivo limitante y el de progresión de la reacción, los cuales no dependen solo (nx), sino también de (vx). A pesar de esto, en la siguiente discusión asumiremos el estándar adimensional para la expresión (8).
Una ley para la relación estequiométrica
La ley de la estequiometría básica debe conectar dos cocientes, uno de coeficientes estequiométricos y otro de cantidades de sustancia en moles (11). En base a las múltiples interpretaciones del coeficiente estequiométrico podemos emplear la ley de Avogadro (2) o la definición del número de Avogadro (3). En ambos casos se trata de dividir una ecuación entre sí misma, la identidad de las sustancias es importante, así que primero analizaremos para una pareja de dos reactivos, donde uno es la incógnita i será la identidad del numerador, y la sustancia dato irá en el denominador.
|
(9) |
|
(10) |
|
En (9) aplicamos la interpretación (5); mientras que en (10) aplicamos la interpretación (8), con lo cual llegamos a la misma expresión:
|
(11) |
|
El problema radica en que solo hemos demostrado que (11) es válido para una pareja de reactivos, el hecho de que numéricamente sea válida para otras parejas es irrelevante, ya que debemos demostrarlo universalmente, además no hemos introducido condiciones para modelar equilibrios. La razón de esta inquietud surge de una propiedad de (vx), este será positivo para los reactivos, y negativo para los productos (Atkins et al., 2018). Miremos lo que pasa en la pareja producto-producto, en este caso como tenemos ambos (vx) negativos, se cancelarán, por lo que (11) seguiría siendo válida.
El problema aparece cuando tenemos una pareja reactivo-producto. En este caso solo tendríamos un negativo y (11) tendría una forma especial para la pareja producto-reactivo, sin embargo este problema solo aparece debido a que no hemos introducido en nuestro análisis una variable oculta, el tiempo. En un problema reactivo-producto debemos tener en cuenta que hay dos tiempos por cada cantidad de sustancia, reactivo inicial () y final (nx); y producto inicial (
) y final (np). Para modelar esta situación emplearemos dos veces a (11), una para el momento inicial y otra para el momento final.
|
(12) |
|
(13) |
|
Antes de unificarlas, despejaremos cocientes de la forma (n/v).
|
(14) |
|
(15) |
|
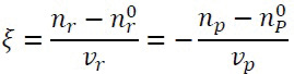
Ahora, para tener los dos momentos en una sola expresión, obtendremos una diferencia entre el momento final y el momento inicial.
|
(16) |
|
Con (16) hemos obtenido una expresión especial, ya que se conoce como el avance de la reacción (ξ) (Atkins et al., 2018). Ahora modelaremos la siguiente condición, una reacción irreversible, la cantidad final de reactivos se llevará a ceros. Mientras que el producto inicialmente está en ceros.
|
(17) |
|
Al hacer esto, los negativos se cancelarán, obteniendo una relación de cocientes positivos homóloga a (11), lo cual demuestra que (11) es universal para cualquier pareja dato-incógnita, sin importar que estemos trabajando reactivos o productos. La expresión basada en el avance de la reacción (16) es mucho más general que (11), debido a que podemos derivar las otras situaciones de las reacciones irreversibles, pero también modelar situaciones reversibles en las que la cantidad final del producto no llega a cero. Sin embargo, el objetivo e este artículo es enfocarse en reacciones donde la cantidad final del reactivo limitante llega a cero.
La ecuación (11) puede emplearse para realizar cálculos de masa para reacciones irreversibles despejando (ni) de la incógnita:
|
(18) |
|
Identificar al reactivo limitante
Al trabajar situaciones de reactivo limitante, se debe tener en cuenta que hay dos variables críticas, la cantidad de sustancia (nx) y el coeficiente estequiométrico (vx), las dificultades aparecen al tomar en cuenta solo una de las variables (Dahsah & Coll, 2007), pues este análisis requiere un análisis de cocientes de dichas variables. Existen varias formas de deducir las ecuaciones para analizar estas situaciones, pero la más general emerge a través del concepto de avance de la reacción ¿Qué pasa si aplicamos el mismo análisis de extensión de la reacción, pero para una pareja de reactivos 1 y 2?, Si asumimos una reacción no reversible, y una mezcla en proporción estequiométrica, la hipótesis de trabajo sería que:
|
(19) |
ξ1 = ξ2 |
Con esta hipótesis veremos lo que pasa si despejamos de forma tal que tengamos todas las variables iniciales a un lado, y las finales al otro.
|
(20) |
|
|
(21) |
|
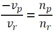
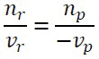
Si (21) es igual a cero, significa que estamos ante una mezcla en proporciones estequiométricas, nuevamente asumiendo una reacción irreversible. Pero si las sustancias no están en una proporción estequiométrica, entonces la resta será variable, y esta nueva variable la denominaremos factor de identificación de reactivo limitante o (Rl) La clave aquí es que podemos separar el análisis para un momento inicial, y un momento final. Para el momento inicial, nos permite identificar el reactivo limitante y el reactivo en exceso.
|
(22) |
|
Si Rl es positivo, la sustancia 1 es limitante y 2 está en exceso. Si (Rl) es negativo, la sustancia 1 está en exceso y 2 es el limitante. Si (Rl) es cero, ambas se consumen sin sobrantes, solo válido para reacciones no reversibles que se completan. Dimensionalmente, la unidad de (Rl) es igual a la de (ξ), mol, pero debe tenerse en cuenta que (Rl) no mide realmente una cantidad de sustancia (n), sino un cociente (n/v), es aquí donde sería útil asumir el coeficiente estequiométrico con unidades para partícula, ya que interpretar (Rl) como cantidad de sustancia, como indicaría su unidad, conlleva a errores de cálculo.
Cantidad sobrante o faltante
La ecuación (21) para el momento final, nos permite cuantificar cantidades faltantes o sobrantes.
|
(23) |
|
Si el reactivo 2 era la sustancia limitante (n2 = 0), entonces 1 tendrá sobrantes:
|
(24) |
|
Si el reactivo 1 era la sustancia limitante (n1 = 0), entonces 2 tendrá sobrantes:
|
(25) |
|
En el análisis inverso, la cantidad faltante del reactivo limitante debe ser la que aparece cuando se logra consumir al reactivo en exceso totalmente. Si el reactivo 2 era la sustancia limitante, para conocer cuánto faltaría de esta debemos tener (n1 = 0), lo cual nos arrojaría la expresión (25), y para el caso contrario nos encontraríamos nuevamente con (24). Las expresiones (24) y (25) nos pueden servir para despejar las cantidades de sustancia sobrantes o faltantes finales (nx(sobrante o faltante)), sin importar si el reactivo limitante sea 1 o 2. Para evitarnos la molestia de usar dos fórmulas homólogas, al encerrar el (Rl) en un valor absoluto, obtendremos una fórmula válida para las cuatro situaciones posibles.
|
(26) |
nx = |Rl| ✳ vx |
Aunque inicialmente (26) la obtuvimos para calcular las cantidades sobrantes del reactivo en exceso, la misma fórmula puede emplearse para calcular la cantidad de reactivo limitante faltante. Así pues concluimos que a partir del análisis de extensión de la reacción se pueden deducir las ecuaciones para identificar el reactivo limitante (22) y las cantidades sobrantes o faltantes (26).
Conversiones
Las ecuaciones (18), (22) y (26) están definidas para (n), pero no existen balanzas de moles, experimentalmente se miden masas, concentraciones, o propiedades de gases. Plantear ecuaciones universales para situaciones comunes acelera su interpretación analítica y facilita cálculos aritméticos, especialmente en réplicas experimentales. Por extensión nos enfocaremos solo en cuatro situaciones “comunes”; cálculos de masa; la titulación ácido fuerte base fuerte con concentraciones molares; la gravimetría; y una situación de estequiometría de gases.
Lo primero que haremos es modificar a (18) convirtiendo cantidades de sustancia en masas (mx) y masas molares (Mx).Despejamos (nx) de (6) y cambiamos la identidad x según corresponda a la sustancia incógnita y la sustancia dato; y reemplazamos en ambas cantidades de sustancia de (18). Al despejar la masa de la incógnita (mi) obtenemos:
|
(27) |
|
Ubicar las variables semejantes en cocientes no es solo una elección estética, permite analizar dimensionalmente de manera implícita, las unidades de la masa de la incógnita serán las mismas que la masa del dato.
Dado que (mi) en una gravimetría no se da explícitamente dado que en su lugar tenemos (pmx) , debemos usar su definición:
|
(28) |
|
Donde (pmx) es el porcentaje en masa de una sustancia (x) cualquiera, empleando la masa (mx) y la masa total de la muestra (mT). Definimos (28) para la incógnita, despejamos (mi), luego igualamos con (27). Dado que lo más común es que pregunten por (pmi) la expresamos despejada.
|
(29) |
|
Analíticamente podemos ver que la única unidad que permanece es porcentual.
Podemos tener tres situaciones, la más común es la de tener las cantidades de sustancia del ácido y la base en términos de unidades de concentración, siendo la unidad de concentración más común la concentración molar Cx definida como:
|
(30) |
|
Donde (VxT) es el volumen total expresado en litros (L) de la sustancia (x), es importante que este volumen tenga la identidad de su soluto ya que tenemos dos volúmenes diferentes, y sin ese identificador tendremos confusiones. El modelo matemático se obtiene despejando (nx) de (30), luego adjudicándole la identidad incógnita o dato, y reemplazando en (18):
|
(31) |
|
Dependiendo del enunciado del problema, despejaremos la concentración de la incógnita (Ci) o el volumen de la solución incógnita (ViT).
Una de las variables de los gases es la cantidad de sustancia (nx), y por ende podemos igualar la ley de estequiometría básica (18) con la ecuación de estado de los gases:
|
(32) |
Px ✳ Vx = nx ✳ R ✳ Tx |
Dado que la cantidad de casos de estequiometría de gases es grande, solo evaluaremos analítica y numéricamente un caso simple. La presión de una sustancia incógnita por medio de la masa en gramos del dato. Para ello cambiamos los subíndices de identidad de (32) a los de la incógnita, despejamos los moles de la incógnita e igualamos con (18) mientras que para el dato, hacemos lo mismo, pero empleando a (6). Con lo cual obtenemos.
|
(33) |
|
El reactivo limitante también puede trabajarse con cualquier unidad diferente a moles, pero por extensión nos enfocaremos solo en el caso más común, cuando la sustancia dato e incógnita están dadas en masa (mx). El primer paso es convertir de moles a gramos de (22) y (26) empleando la masa molar (6):
|
(34) |
|
|
(35) |
mx = |Rl| ✳ vx ✳ Mx |
Análisis dimensional
La principal característica de los factores de conversión es que son herramientas de análisis dimensional poderosas, en donde se posiciona de manera explícita las unidades de cada uno de los valores para luego cancelar, las unidades que permanecen deben concordar con la variable calculada (Tabla 1). El método algebraico permite escoger entre dos tipos de análisis dimensional, un análisis explícito o clásico, donde al reemplazar valores también reemplazamos todas las unidades, pero también podemos realizar análisis dimensional implícito. En el análisis dimensional implícito, cada vez que nos encontramos con un cociente de variables semejantes (ejm. ni/nd; mi/md; Vi/Vd) podremos cancelar sus unidades implícitamente, siempre y cuando, las unidades del cociente también sean semejantes. Al cancelar implícitamente, se reduce la cantidad de símbolos planteados al reemplazar términos, permitiendo acelerar el proceso analítico y enfocarse en la aritmética. El uso del análisis implícito, explícito, o combinado depende del contexto, si estamos demostrando es mejor un análisis dimensional explícito, pero si estamos procesando réplicas experimentales, resolviendo ejercicios de estructuras homólogas, o en una evaluación donde no se requiere demostrar, es más rápido un análisis implícito.
Soluciones numéricas
Ejemplo 1. Al inicio se ponen a reaccionar 4.5 g de MnO2 con 4.0 g de HCl. (a) Determinar la identidad del reactivo limitante. (b)¿Cuántos gramos de Cl2 se obtienen? (c) Calcular la cantidad de reactivo en exceso que queda sin reaccionar. Tomado de (Osorio-Giraldo, 2015). Cl=35;H=1;O=16;Mn=55. MnO2 (s)+ 4HCl (ac)→ MnCl2 (ac)+ Cl2 (g)+ 2H2O (l).
(a) Aplicamos (34), la sustancia 1 será MnO2 y la sustancia 2 será HCl. Es conveniente tener en cuenta la identidad de sustancia en ambos términos.
|
(36) |
|
Dado que el resultado es negativo, el reactivo limitante es HCl, y el reactivo en exceso es MnO2. (b) Con el reactivo limitante HCl calculamos la masa de producto Cl2 empleando (27).
|
(37) |
|
(c) El reactivo en exceso era MnO2, por lo que con el aplicamos (35).
|
(38) |
|
Si comparamos con la propuesta clásica de (Osorio-Giraldo, 2015) nos percataremos que el número de cálculos numéricos es inferior.
Ejemplo 2. Una muestra de 0.7077 g de un compuesto iónico que contiene iones cloruro y un catión desconocido de carga 1+ XCl se disuelve en agua y se trata con un exceso de (AgNO3). Si precipitan 1.3602 g de (AgCl), ¿cuál es el porcentaje en masa de (Cl-) en el compuesto original? Ag+ + XCl(aq) → AgCl (s).
Aplicamos (29), pero antes de reemplazar numéricamente, damos las identidades de todos los términos, debido a que este ya es un cálculo complejo. Tenga en cuenta que m(Cl-)T = m(XCl).
|
(39) |
|
Con esto es más sencillo encontrar los valores en el enunciado.
|
(40) |
|
¿Qué pasa si lo que necesito es procesar réplicas experimentales?, asumamos que en un experimento cualquiera, mido parejas de datos para la masa de la muestra original m(XCl), y para el precipitado correspondiente m(AgCl):
|
(41) |
|
Con (41) podremos procesar una pareja indefinida de réplicas, además de que es más sencillo introducirla en una hoja de cálculo.
Ejemplo 3. ¿Qué volumen (en ml) de una solución de NaOH 0.203 mol/L se necesita para neutralizar 25.0 ml de una solución de H2SO4 0.188 mol/L? : 2NaOH(aq) + H2SO4 (aq) →Na2SO4(aq) + 2H2O(l).
Despejamos el volumen de la incógnita de (31) donde la base es la incógnita y el ácido es el dato, aunque es opcional, es mejor adjudicar las identidades propias de este caso específico:
|
(42) |
|
Al realizar el análisis dimensional implícito, el cociente (Cac/Cba) es adimensional, pues en este enunciado las unidades de concentración iguales. Analíticamente podemos concluir que las unidades de la incógnita estarán dadas en unidades de volumen, en este caso mililitros.
|
(43) |
|
En caso de que estemos procesando réplicas hechas con varios volúmenes de ácido, la fórmula sería:
|
(44) |
Vba = 1.85 ✳ Vac |
Ejemplo 4. Si se colocan 4.000 gramos de peróxido de hidrógeno dentro de un contenedor sellado de 250 mililitros a 500 K. ¿Cuál es la presión del gas de oxígeno producido en las atmósferas? 2H2O2 → 2H2O + O2. Ejecutamos (33). Las demás variables deben analizarse dimensionalmente de manera explícita ya que no tenemos cocientes de variables semejantes.
|
(45) |
|
Resultados
Dado lo anterior, los principales problemas de estequiometría se pueden resolver aplicando total o parcialmente las siguientes ecuaciones (Tabla 2).
Discusión
Por medio de la ley de Avogadro y la hipótesis de Avogadro hemos logrado derivar ecuaciones que sirven para resolver situaciones de estequiometría básica, para situaciones donde no consideramos equilibrio, con lo cual corroboramos nuestra hipótesis de trabajo. Una característica interesante es que el concepto de avance de la reacción aparece como un intermedio necesario para la demostración, incluso podría haberse comenzado este documento con sus ecuaciones, aunque eso desconectaría esta descripción analítica de su vínculo con la química de gases a través de las ecuaciones de Avogadro.
Lo anterior implica que, al igual que en el proceso histórico, donde los modelos de gases dieron pie a los modelos estequiométricos, aquí, las leyes de los gases dan lugar a las leyes de la estequiometría, lo cual permite no solo llevar a los estudiantes a un nivel de formalización mayor, sino también narrar la historia de la química.
Tabla 2. Principales ecuaciones para las situaciones planteadas en este documento.
|
Tipo de problema |
Fórmula |
|
Calculando cantidad de sustancia de la incógnita con la cantidad de sustancia del dato. |
|
|
Calculando la masa de la incógnita con la masa del dato (Ejemplo 1-b) |
|
|
Identificando el reactivo limitante en moles |
|
|
Identificando el reactivo limitante en gramos (Ejemplo 1-a) |
|
|
Calculando cantidad de sustancia faltante o sobrante |
nx = |Rl| ✳ vx |
|
Calculando la masa faltante o sobrante (Ejemplo 1-c) |
mx = |Rl| ✳ vx ✳ Mx |
|
Gravimetría, la incógnita impura y el dato puro. (Ejemplo 2) |
|
|
Titulación ácido fuerte base fuertes, ambos diluidos (Ejemplo 3) |
|
|
Estequiometría de gases, presión de la incógnita. El dato está dado en masa (Ejemplo 4) |
|
Aunque la mera deducción analítica es suficiente prueba de su utilidad, los ejemplos numéricos nos sirven para introducir del concepto de análisis dimensional implícito. Este análisis disminuye la complejidad simbólica después de reemplazar términos, y por ende podría ser de ayuda para disminuir los errores dimensionales típicos de este tipo de cálculos en ejercicios de lápiz y papel o en procesamiento de réplicas experimentales.
Estas ecuaciones permiten la obtención de fórmulas de procesamiento de réplicas experimentales, las cuales permitirían un manejo estadístico más cómodo, como igualar las constantes obtenidas a una pendiente, o procesarlas de manera más eficiente en hojas de cálculo.
Este método también nos permite hacer explicita la gran dificultad analítica que pueden involucrar algunos problemas, el que destaca es el reactivo limitante. La utilidad de este método radica en estandarizar la parte analítica, la cual queda hecha una vez, mientras que las soluciones numéricas quedan sujetas a la solución de las ecuaciones generales. Sin embargo, esto es una espada de doble filo, pues enfrentaríamos los mismos problemas que afrontan en la enseñanza de la física, donde el estudiante depende de la ecuación, sin analizar los presupuestos de los cuales se obtienen.
Una limitante de este trabajo es que la mayoría de las ecuaciones descritas en este documento modelan situaciones en las que no se alcanza el equilibrio, para situaciones de equilibrio puede referirse a (Baeza-Baeza & García-Alvarez-Coque, 2014).
Referencias
Atkins, P. W., De Paula, J., & Keeler, J. (2018). Atkins’ physical chemistry. Oxford university press.
Avogadro, A. (1811). Essay on a manner of determining the relative masses of the elementary molecules of bodies, and the proportions in which they enter into these compounds. Resonance, 11(01). Recuperado a partir de https://www.ias.ac.in/public/Volumes/reso/011/01/0090-0095.pdf
Baeza-Baeza, J. J., & García-Alvarez-Coque, M. C. (2014). Extent of Reaction Balances: A Convenient Tool to Study Chemical Equilibria. World J. Chem. Educ, 2, 54–58.
BIPM. (2018). The mole. Recuperado el 1 de noviembre de 2019, a partir de https://www.bipm.org/en/measurement-units/
Chang, R., & Overby, J. (2011). General Chemistry,Th e Essential Concepts (11a ed.). McGraw-Hill New York.
Dahsah, C., & Coll, R. K. (2007). Thai Grade 10 and 11 students’ conceptual understanding and ability to solve stoichiometry problems. Research in Science & Technological Education, 25(2), 227–241.
Einstein, A. (1905). On the motion of small particles suspended in liquids at rest required by the molecular-kinetic theory of heat. Annalen der physik, 17, 549–560.
Figueira, A. R. (1988). Teaching stoichiometry. Journal of Chemical Education, 65(12), 1060.
Hand, B., Yang, O. E., & Bruxvoort, C. (2007). Using writing-to-learn science strategies to improve year 11 students’ understandings of stoichiometry. International Journal of Science and Mathematics Education, 5(1), 125–143.
Jensen, W. B. (2004). The origin of the mole concept. journal of chemical education, 81(10), 1409.
Matamála, M., & Gonzalez, P. (1976). Química General. Cultural.
Oñate, E. (2000). Límites de los métodos numéricos. Publicación CIMNE, (191).
Osorio-Giraldo, R. D. (2015). Cálculos estequiométricos. Reactivo límite. Recuperado a partir de http://aprendeenlinea.udea.edu.co/lms/ocw/mod/page/view.php?id=249
Perrin, J. (1911). La réalité des molécules. Revue scientifique, 25(16), 774–784.
Recepción: 21 de junio de 2019 Aprobación: 13 de enero de 2020
[a] Grupo IREC, Universidad Pedagógica Nacional de Colombia.