http://dx.doi.org/10.22201/fq.18708404e.2023.2.83509

Active learning strategies on organic nomenclature using digital tools and collaborative work

Danny Arteaga[a], Marino Chavarro Cordoba[a] y Luis Alberto Lenis Velasquez[a]

Resumen

En este trabajo se describen los resultados más relevantes de una estrategia de aprendizaje activo diseñada como herramienta complementaria para mejorar los procesos de enseñanza de nomenclatura orgánica en estudiantes que cursan química orgánica general en la Universidad del Cauca (Popayán-Colombia). Este proceso se realizó utilizando una metodología definida en tres etapas: planificación, implementación y validación. En una primera etapa, de acuerdo al tipo de compuestos orgánicos, se diseñaron ocho (8) materiales interactivos soportados sobre la plataforma Genial.ly. Estudiantes de varios programas académicos participaron de la propuesta pedagógica y mediante trabajo colaborativo, cada estudiante exploró las plataformas interactivas en cuatro (4) sesiones, distribuidas según la temática de estudio, desde hidrocarburos hasta derivados de ácido. Finalmente, a través de encuestas dirigidas y un test de evaluación, se validó la eficacia de la dinámica de innovación educativa en sus componentes: operatividad, contenidos y percepción en la aplicación de las herramientas empleadas. El análisis de los resultados evidenció un alto grado de aceptación en la mayoría de los participantes (80-90%). De igual forma, el test final de evaluación realizado entre los grupos denominados como experimental y control, mostró que los mejores resultados obtenidos corresponden a aquellos estudiantes que participaron en las actividades propuestas, el 71.4 % del total de evaluados ganaron la prueba. Los estudiantes del grupo control presentaron un menor rendimiento en la prueba, solo el 40.0 % la aprobaron.

Palabras clave:

Innovación en el aula, Aprendizaje Activo, Nomenclatura Orgánica, Ludoevaluación, Gamificación.

Estrategias de aprendizaje activo de nomenclatura orgánica a través del uso de herramientas digitales y trabajo colaborativo

Abstract

The present document describes the most relevant results from an active-learning activity design as a complementary tool to improve learning process of organic nomenclature on students from general organic chemistry course at Universidad del Cauca (Popayán-Colombia). This process was developed using a defined method in three parts: planning, setting, and validating. The first stage, according to organic compounds, eight (8) different interactive class materials from Genial.ly website were design. Secondly, students from various academic programs participated, and through collaborative work, each student handled the interactive program during four sessions, spread accordingly to the topic: from hydrocarbons to acid derivates. Finally, through guided surveys and an evaluation test, the activity’s innovative dynamic efficiency was evaluated under three components: effectiveness, content, and perceptions of applied tools. Results threw a high grade of acceptance on most of participants (80-90 %). Same way, the final test among experimental and control groups showed better results belonging to students participating in the activity with a total of 71.4% of students that passed the evaluating test. Control group students presented a lower performance on the test with only 40% of evaluated students approved.

Keywords:

Classroom innovation, active learning, organic nomenclature, ludic-evaluation, gaming.




Introduction

Along the years, traditional education methods had led to the development of learning process in all science fields, and chemistry is no exception. Its surrounding has centered mostly on communicating content from teacher (issuer) to students (receiver) having as a limit the use of tools to explain information mostly on a white board, chalkboard, conferences or regular classes (Torres S., 2010). For the new generations of “digitally born” students, the exclusive use of those teaching methods does not help to promote self-learning environments or engaging to topics. Capture their attention and awaken learning motivations is one of the greatest challenges today’s teachers have (Hernández Garces et al., 2015; Luis et al., 2013). Fortunately, with the advances of information technologies TIC’s (Daza Pérez et al., 2009; Hofer et al., 2021; Martínez-Argüello et al., 2018; Tikva and Tambouris, 2021) changes had happened on teaching styles towards active learning’s and dynamic styles, efficiency and engaging (Cipagauta et al., 2021; Hernandez et al., 2016; Herrera Beltrán and Mosquera Suarez, 2021). Including this new methods plus learning patterns of students had driven research to find ways of for students to own their knowledge on any science field (Allan et al., 2013; Watson, 2001). Specifically, on chemistry, which many times shows itself as abstract, difficult, monotonous, detach, and far from professional or real life experiences (Gutierrez Mosquera and Barajas Perea, 2019), that is why it becomes necessary to bring modern like gaming (Buendía-Atencio et al., 2022; Jääskä and Aaltonen, 2022; NOURI and Rahimi Meroei, 2021; Porto et al., 2020; Sousa Lima et al., 2019), class Ludic (Maila-Álvarez et al., 2020; Zaragoza Ramos et al., 2016); flipped classroom (Nappa et al., 2021; Peralta-Benítez et al., 2021), video-based learning (Hernández et al., 2014; Londero Balza, 2014); digital content usage (Figueiredo et al., 2016; Liu et al., 2022; Thibaut and Schroeder, 2022), and interactive platforms (Athavan Alias Anand, 2021; Christiansen, 2021; Dabke et al., 2022), that allowed revitalize the learning of concepts as well as to heal the wrong and “a priori” concept of chemistry as a difficult science.

During the year 2000, when our world went through the health emergency because of Covid-19, strategies on education based on Information Technologies became a must and caused that all learning processes migrate to virtual means generating a change in class dynamics (Abraham and Queijeiro, 2020; Gabriela Caroline Kroth et al., 2022; Lapitan et al., 2021; Zendler and Greiner, 2020). Because of that, teaching IUPAC nomenclature was a big challenge, as it is one of the main subjects to learn for students of organic chemistry.

In general, this topic requires learning and memorizing specific rules, answering repetitive and un-attractive workshops that, added to pandemic confinement, caused the learning to be much more tiresome and stressful. Fortunately, along the last years, technologic advances have develop alternate methodologies on innovative education, that besides complementing traditional teaching strategies ease-up educational dynamics helping to overcome weak spots on learning subjects (Buendía-Atencio et al., 2022; Gutierrez Mosquera and Barajas Perea, 2019; Porto et al., 2020; Valdez et al., 2011). Our purpose aims to consolidate an active learning method, where the roles of the education system are inverted having the teacher as a facilitator while students are the main characters of their own learning. Reviewing previous works, it is noticeable that for XXI century students, one most effective and engaging way for them to learn is to include games and interactive tools, we plan for a mixed pedagogy, based on nomenclature content exploration, design on Genially web platform (Abdul Rahim, 2022; de Souza and Kasseboehmer, 2022); and working collaboratively around it. Also, planned dynamic and produced material will be accessible to be reused generating a great advantage for class process (Abdul Rahim, 2022; Allan et al., 2013; Athavan Alias Anand, 2021; Christiansen, 2021; Dabke et al., 2022). On one hand, it allows students to go at their own pace, and to participate in collaborative work; being this, quite an important element for the learning development by virtue of promoting the understanding of topics through leadership, debates and talks, offers competitive or comradeship relations were student have to be up to level and/or helping each other (Peralta-Benítez et al., 2021; Zendler and Greiner, 2020). Present research, carried out during Covid-19 confinement, emerged as an efficient alternative to teach organic nomenclature to college students from different programs (Science and Engineering) of Cauca University. Combining team-work and ludic-class as methods of active learning methods generates a unique and fun environment to engage into knowledge appropriation.

Methods

This innovative educational proposal was carried out at University of Cauca for a period of 12 months (2021, I and II semester). It was developed with engineering and science students having organic chemistry assigned class under the fundamental cycle. It was put into practice on a three (3) time-frame stages: Planning, implementation, and validation. Planning and design had within diverse elements which were developed and adjusted on three consecutive stages: I. Operational and disciplinary parameter definition. II. Design and build-up of interactive platforms; III. Review and adjustment of content and format. During the second stage each of gaming and activities were applied as playful strategies of teaching-learning. It was made on a building-up manner towards team-work and under previously planned phases: I. Approaching to students II. Usage of interactive game design tools. III. Competence and goals achievement evaluation. During validating stage, a by-step process was also done as follow: I. Operative evaluation. II. Disciplinary evaluation; III. Results analysis and treatment. All information was collected through directed survey on Google forms and predefine testing concepts.

Discussion

Walking through this design education strategy, we noticed that during compliance of its stages, results where interesting in these aspects: academic and classroom research. Evidence was analyzed on each stage allowing us to evaluate the effect of the project over the process of learning organic nomenclature.

Stage I. Planning. Design of Academic Strategies

About elaborating the used materials, we included key parameters directly related to IUPAC nomenclature rules to all organic chemistry functional groups, which were organized considering academic and operational parameters.

PowerPoint Prototype

PowerPoint was the first preliminary platform used to establish the structure of interactive tools as part of our research material. Its service was to generate a friendly environment as well as fun and easy tool to play and explore with; that way, students would use autonomous learning on their learning activities. Proposed schedule consisted of six (6) sections according to a consecutive order (Figure 1).

Figure 1. Sections planed for by-section educational innovation platform.

It was proposed the display of a main menu with the general game instructions, by-levels of thematic, and with a “play” button sending player automatically to first level. Within general instructions are the order of levels to follow to be able to move inside the platform (SI: Figure S1). In a trial level, developed tools fulfilled with our purpose, however, PowerPoint presented few limitations causing prototypes being not too functional as for inconveniences like students can sneak into answers previously, skip levels or handle written information. Therefore, we moved our concept of to another platform: Genial.ly, which is a free access online tool.

Genial.ly prototype

Using the previously design structure on PowerPoint and a variety of elements from Genial.ly, we design interactive platforms as new pedagogic material aiming to cover needs, weaknesses, and strengths from students (SI: Table S1, Links and Figures S2-3). Changes made included featuring an initial game presentation screen which highlight the name of the activity: “Nomenclature game”. The screen also has the names of the researchers, names of by- topic groups, a start-button; and as a new element, a timer to measure activity’s time progress (Figure 2).

Figure 2. Main and presentation Screen. Nomenclature game: Hydrocarbons.

When clicking on the “start button” program will take students to a main menu of the game where instructions and all levels from organic compound types (Figure 3). Changes applied are about level notifications, e.g. for hydrocarbons, exploring should begin with alkanes. If the student wishes to start with another level without following the correct order, the game won’t allow it. Like this, the game avoids the possibility for the student to omit a particular level aiming to strengthen the process build-up of concepts learning.

Figure 3. Start-up screens. Main menu (left); general instructions (right).

When starting the appropriate level, another instructive menu opens with specifications on such organic functional groups using two buttons: begin and play directed to main menu’s and to first game’s exercise (Figure 4). Instructions were kept from previous versions (PowerPoint) and proposed exercises were classified and displayed on screen according to complexity level (colored scale). Screen also include a start and help button. For the student to be able to remember forgotten rules, he/she will be able to press the help button which will bring them back to specific instructions about each organic functional group. It also displays three multiple choice answers.

Figure 4. In-course screen. Specific instructions (left); In-course play game (right).

Including an explanation to each correct answer was one of the substantial changes offered on Genial.ly version, because it was observed the need from the student to know the fundaments of its correct or incorrect choice. Same way, when choosing a correct answer, it is recorded an approval checkmark on control boxes (colored scale) which allows knowing the student’s advancement on the platform (Figure 5).

Figure 5. Answer description screen. Correct answer (Left); Incorrect (right).

Table 1 shows the levels and functional groups worked inside as well as the number of strategies and version done during present research. Prototypes on Genial.ly were made on Spanish language as students are Spanish speakers.

Table 1. Thematic and design of educational strategies with free access platforms.

Estrategy

Level

Functional groups

Tool

No.

Power Point

Genial.ly

I

Hydrocarbons

Alkanes

Alkenes

1

2

3

Alkynes

Aromatics

II

Halides – Oxygenated

Alcohols

Ethers

1

2

3

Alkyl halides Aryl halides

III

Carbonilic Compounds

Aldehydes

Ketones

1

2

3

Carboxilic Acids

IV

Acid Derivatives

Esters

Acid Halides

1

2

3

Amides

Anhydrides

Stage II. Strategy Implementation

Executing this stage was building-up according to in-course subjects and class topics, specifics on study groups and under a planning format as follow.

Diagnostic Tools

Firstly, an initial survey was done allowing to explore some general aspects about participating students. From them, 58 were women and 39 men. The age range was approximately 18 to 19 years old. For such age groups, mostly women predominated except in the age groups of 20 years where men were much more. Related to academic background before enrolling in college, it was observed that 78.6% of students come from middle public schools and 21.4% from private schools. About the question if students receive full courses about organic chemistry contents in school, 70 from public schools and 17 from private schools answered they indeed coursed the class. Finally, 10 of the public students stated that they had never studied this subject during the school year (SI: Figures S4-5).

Academic Strategies

This educational proposal was carried out with students attending different academic programs, for a total of 97 students divided into 2 big groups (A and B) equally participating in the activity (Table 2).

Table 2. Relation between teamwork groups and academic programs.

Group

Experimental Groups*

Total

Bio

Chem

AE

PE

EE

BM

A

14

-

12

13

5

2

46

B

5

11

-

18

17

-

51

* Academic programs: Bio: Biology; Chem: Chemistry; AE: Agro-industrial Engineering; PE: Physical Engineering; EE: Environmental Engineering; BM: Bachelor of Mathematics.

Work sessions from design content (Table 1) were carried out remotely (virtual class) due to world health emergency. It happened on over-time class schedule through a collaborative class work for students to explore tools, working in couples on virtual meeting through Google Meet. Each group had a total of 4 sessions (60 to 90 min.) subjected to connectivity, work pace and topic studied.

Stage III. Validation

To validate efficiency of the strategy, acquired competences and operation of interactive platforms, surveys and a test (multiple selection) were implemented. By session/ by work group a survey was made to analyze the level of agreement from participants through affirmations on 3 significant aspects: 1. Functionality and graphic interface; 2. Content relevance; and 3. Student’s perception (Tables 3-5).

According to worked session and group distribution (A and B), a total of 8 surveys were recorded that helped to classify the information according to the topic and the results were analyzed by interest and comparison groups.

Hydrocarbons nomenclature was the first studied topic in our educational strategy, therefore, the analysis followed in this topic will be very detailed. Table 3 shows affirmation/negation used in surveys to evaluate tools feasibility on first aspect: functionality and graphic interface.

Table 3. Evaluating affirmations for interactive platform: functionality and interface.

Question

1

Do you consider the work environment about the ludic tool was always pleasant?

2

Did you find incompatibilities when using the tool making it hard to handle?

3

Instructions and illustrations to access game and functionality were clear?

4

The played tool allowed to display functions in an adequate manner filling your expectations?

5

Do you believe game tools and buttons were easy to handle?

6

Are you against the graphic designs of the game?

7

When exploring the tool, you found all functions and links well integrated?

8

Was the language used difficult to understand to interact fluently with the game tools?

Level of agreement of survey respondents was determined using a Likert measuring method (Likert, 1932). Values represented on figures follow this convention: 5. Totally agree (blue) 4. Agree (red) 3. Indifferent (yellow) 2. Disagree (green) 1. Totally disagree (orange). Consolidated results for groups A and B (Figure 6) showed the following percentages of affirmations (Q1, Q3, Q4, Q5, Q7) between 60.9 and 89.1 % manifested to be totally agree. Negative phrases (Q2, Q6, Q8), 58.7 and 76.5 % responded: totally disagree. Analysis of this tendencies and understanding the intention of each question, allows us to conclude on a high level of acceptance towards the functionality of hydrocarbons platform.

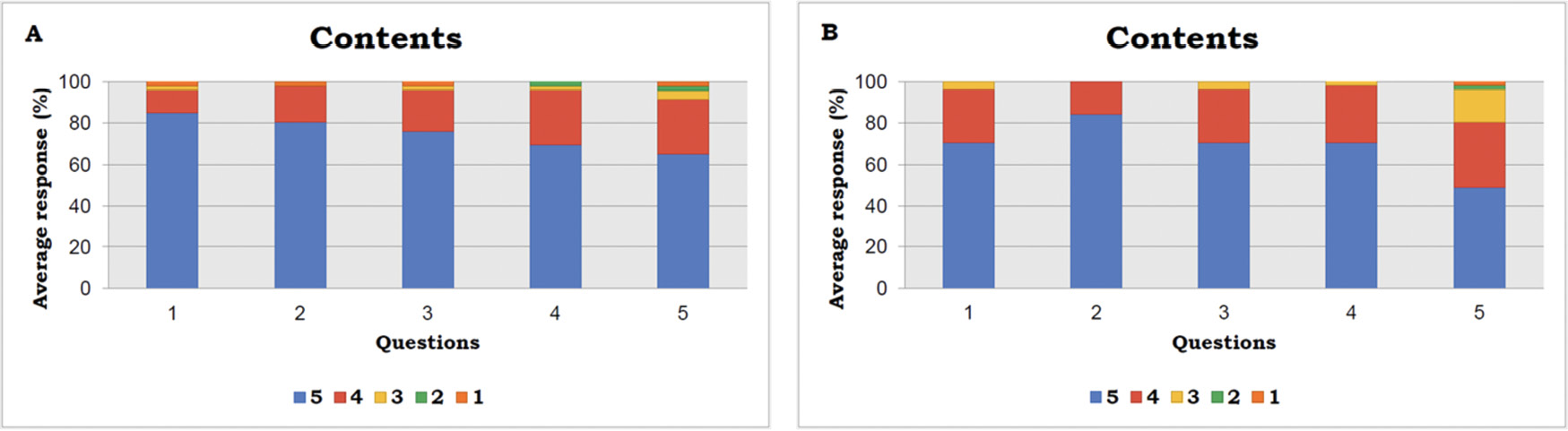
To evaluate the content pertinence displayed on the platform of hydrocarbons: “nomenclature game”, it was also analyzed some acceptance and tendencies against 8 affirmations (Table 4).

Figure 6. Hydrocarbons: functionability evaluation of interactive tool (Groups A and B).

Table 4. Affirmations to evaluate interactive platform: content relevance.

Question

1

The order in which the levels are presented facilitates the learning of nomenclature rules.

2

Presented content is pertinent to support the learning process of organic nomenclature.

3

Implemented games as ludic strategies offer quality in its content presentation.

4

You had previous experiences to reinforce and learning of chemistry content.

5

Information, text, graphics, and rules displayed when hitting buttons are pertinent.

6

Content and exercise offered are adjusted accordingly to required levels for college students.

7

Proposed exercises to move-up to levels are relevant and were appropriately chosen.

8

Comments when failing or achieving exercise or levels are clear and concise.

As in the previous aspect, both groups maintained a high acceptance of the previous statements (Figure 7). In all the questions, except Q4, answers totally agree (49.0-86.3%) and agree (11.8-43.1%).

Figure 7. Hydrocarbons: content of interactive tool relevance evaluation (Groups A and B).

These percentages allow noticing that structure and content were acceptable. The variability of Q4 responses is shown as a special case. When analyzing preferences, it was visible that majority of students had never used or explored interactive tools to reinforce learning on any chemistry content. This result motivated even more our research team to keep on innovating this tool.

For the last aspect of the survey, the behavior of the students and their perspective on the development of the activity were determined. To do this, the level of approval through 8 questions/denials (Table 5).

Table 5. Affirmation/denials to evaluate interactive platform: student’s perception.

Question

1

According to experience, you highly value the level of satisfaction to help your learning process.

2

According to your perception and achieved results, it motivating to work with this tool.

3

The use of nomenclature games was vital to full fill your learning goals.

4

Consider the game tool was nice allowing to create personal learning environments.

5

You would recommend to other people the use of applied games as they are attractive.

6

To reinforce organic nomenclature learning you would prefer the use of other tools.

7

Developed games were tired-some and frustrating.

8

If needed, you would repeat the use of the game as a learning tool.

Figure 8 shows the results for both groups responding to a high level of acceptance. 91.3 to 100% for affirmations Q1 to Q5 and Q8, and high levels of dislike (73.9 to 86.3%) over Q6, Q7. Values indicate that students felt pleasant with the activity with a high level of satisfaction as their learning process.

Figure 8. Hydrocarbons. Student’s perception about interactive tool (Groups A and B).

General analysis and treatment of data for other work sessions (Alkyl Halides, Anhydrides, Oxygenated Products, Carbonilic Compounds, Acid Derivates), showed that from three aspects valued, most students answer positively. Tendencies in answers on each section showed high levels of agreement on affirmations, and high levels of disagreement on negative questions (SI: Figures S7-11). This allow us to estimate that our proposal was versatile, didactic, attractive and with needed elements to become into a complementary tool to strengthen teachings and learning on IUPAC nomenclature on organic compounds for college students.

Figure 9. Recorded key-words from open answer questions.

In the same way, it was found interesting facts from open-ended written questions. In the last survey (acid derivates session), we offered this type of questions looking for more elaborated answers and analysis of the study groups. From our inquiry, we high-point two questions: 13. According to activities over the semester, what positive elements does this academic initiative have? and 14. Would you like strategies like this to be implemented as ways of teaching or evaluation? Why? The result analysis suggests that students embraced platforms and pedagogic strategies like collaborative work with thrill. Each recorded quote from the educational tool enhanced and supports our initiative (SI: Tables S2-3). We allowed ourselves to share some of them (Figure 9).

Other elements were considered to evaluate the efficiency of the activity as the follow-up of the acquired skills. At the end of each of the 4 work sessions, an evaluation test about organic nomenclature was applied. Sixty-four (64) volunteer students agreed to be evaluated under a ludic environment. Forty-nine (49) of them, from an experimental group and 15 from a control who never had access to such tools. This allowed to evaluate existing differences among learning through-out the interactive proposal against regular traditional class approach.

The test was done through multiple choice answer using Quizziz as ludic platform with a total of 10 questions about IUPAC nomenclature connecting organic structures to representative functional groups (SI: Table S4, Figure S12). Thirty-five (35) students from experimental group approved the test, i.e., 71.4% of the total number of evaluated students, which were classified in four groups G1 to G4 according to their effectives in their answers (Figure 10, left). From first to fourth groups, effectiveness percentages vary from 60 to 90%, highlighting G3 with 13 students with a 70% average. Compared to the control group only 6% students had 60-90% correct answers from 40% of students evaluated. Percentages show that most evaluated students from groups G11 and G14 failed the test, especially G11 with only 4 students reaching only 50% of average (Figure 10, right).

Figure 10. Experimental vs. control group. Evaluated students (red); accurate answers (blue).

If we compare results, we notice that there are significant differences in learning organic nomenclature among students using traditional learning ways. Such tendencies were confirmed when comparing effectiveness through single answering (question by question) on both team works (Figure 11).

Figure 11. Experimental group vs. Control group. By-question comparison.

Most of the related questions from Q1 to Q10 experimental groups achieve higher positive percentages with a difference in a 10 to 40%. It could mean that the number of correct answers were higher for students using the interactive tool during class semester, which confirms that applying complementary tools allows to strengthen such class subjects. However, there were three questions with unsuspected results about partial outcome, we can point out that for Q5 (SI: Table S4) it is presumable that response was given in a quick answer, probably due to students forgetting the main characteristic: selection and numbering of the longest chain of the hydrocarbon, which defines the location of the main functional group, which is the case of carbon number 2, i.e., the alcohol. Same behavior happened to question 7, according to structure, both substituents are on position no.1, and they omitted the priority in the alphabetical order, considering that both functionalities have the same hierarchy at the time of naming. We should mention that there was a time frame to answer. Time could be extended until fully answered. Additionally, it could mean that the highest percentage on this question 87%, was done by the control group, which could be linked to a methodology strategy applied by the in-class teacher on this matter. Regarding the results in Q9, they are the lowest expected for both groups: experimental 24% and control 47%, we believe that the question could have caused confusion due to the infrequent use of this type of structures. It should be considered the longest hydrocarbon chain that contains the largest number of functional groups within.

Conclusion

This work presents the achieved goals about the implementation of a pedagogic methodology supported on collaborative strategies and class ludic using a prototype of didactic game design on Genial.ly platform to complement organic nomenclature learning with college students. Result analysis and reached goals throughout development, show that our innovative educational proposal let to contribute fill expectative over study groups from operational and disciplinary component as it is a non-traditional educational strategy that grants motivation, stimulates, and teaches our students in a more fun ways making them protagonist of their own learning. Eighty (80) to 90% of acceptance about handling, content, and perception about the applicability of such tools, caused a higher academic performance on evaluative testing for most of students (71.4%). It permits to foresee these as valuable methodologies building to promote new proposals on innovative education for teaching and learning advanced content on chemistry fields. Also, we have demonstrated that ludic resources and its applicability improved academic performance on organic nomenclature. We believe that they were pertinent and with high relevance, specially during health emergency where young students required alternate learning fun processes to mitigate stress caused by frequent lock-down periods. Therefore awaking their interest in learning topics from different areas. It is important to highlight that these tools are not planned to substitute other teaching methods, being active learning tools are to support and enhance learning-teaching process.

Acknowledgments

Present results in this article are part of the advancement of project with ID-5571, financed by Universidad del Cauca (501100005682). Authors are thankful Natural Products Research group from Chemistry Department. Also, to students of all participating academic programs.

Electronic supporting information

Power Point Prototype

It was proposed the display of a main menu with the general game instructions, by-levels of thematic, and with a “play” button sending player automatically to first level. Within general instructions are the order of levels to follow to be able to move inside the platform (Figure S1).

Figure S1. Main Menu (left) and general instructions (right).

Screenshot of interactive platforms

Considering the great variety of elements offered by Genial.ly as a free access tool, we design 8 interactive platforms as pedagogic material to facilitate IUPAC organic nomenclature of the most important of functional groups (Table S1 y Figures S2-S3).

Table S1. Access links of interactive tools supported in genial.ly.

Interactive Tool

Access Link

1

Hydrocarbons

https://view.genial.ly/619bb80fa3b1cb0dc4d4f8f7/game-1-hcun-juego-de-nomenclatura-hidrocarburos-version-2

2

Halides and Oxygenates

https://view.genial.ly/61b0c4b45be8710d851ce034/game-2-houn-juego-de-nomenclatura-haluros-y-oxigenados-version-1

3

Carbonílic Compounds

https://view.genial.ly/61545ee54f1aba0d8573ef79/game-v1-cc-un-juego-de-nomenclatura-compuestos-carbonilicos

4

Acid Derivatives

https://view.genial.ly/607f8c2f43ba7b0cf4e14179/game-1-daun-juego-de-nomenclatura-derivados-de-acido-version-1

I

Figure S2. Screenshots of interactive tools: I. Hydrocarbons; II. Halides and Oxygen Compounds.

II

III

IV

Figure S3. Interactive tools screenshot. III. Carbonilic Compounds; IV. Acid derivatives.

Diagnostic Tools

An initial survey was done allowing to explore some general aspects about participating students related to gender, age range, school´s profile and academic background (Figures S4-S5).

Figure S4. Gender and range of ages from study group.

Figure S5. Academic background of student’s study group.

Confidentiality and signed consent from participants

Project participants signed voluntarily a consent form, explaining matters of identity protection into which taken pictures won’t be published and explaining that recorded pictures or images will be exclusively used for research purposes.

Developed Evidence of learning activities

Virtual meeting on Google Meet platform were planned for working sessions. Proposed activities on each session were carried out through collaborative work by pairs for 60 minutes approximately.

Figure S6. Activity screenshot from a session through collaborative work on Google meet platform.

Interactive tools Evaluation

Alkyl Halides and Oxygen compounds

Surveys: Were made using Google forms and evaluated over three aspects of our educational platform: functionality, content, and student perception. 16 questions where written and 10 of them analyzed under Likert scale.

Figures: Survey results of two experimental groups. Organized and tabulated under Likert scale used as an evaluation parameter. 5. Totally agree (blue) 4. Agree (red) 3. Indifferent (yellow) 2. Disagree (green) 1. Totally disagree (orange).

Figure S7. Halides and Oxygenates: Interactive tool functionality evaluation. Group A and Group B.

Figure S8. Halides and Oxygenates: Interactive tool content evaluation. Group A and Group B.

Carbonylic Compounds

Survey: Were made using Google form and evaluated over three aspects of our educational platform. For the survey, 15 questions were evaluated according to previously defined Likert scale.

Figures: Survey results of two experimental groups. Organized and tabulated under Likert scale used as an evaluation parameter. 5. Totally agree (blue) 4. Agree (red) 3. Indifferent (yellow) 2. Disagree (green) 1. Totally disagree (orange).

Figure S9. Carbonylic Compounds: interactive tool functionality evaluation. Group A and Group B.

Figure S10. Carbonylic Compounds: Interactive tool content evaluation. Group A and Group B.

Figure S11. Carbonylic Compounds: tool student’s perception evaluation. Group A and Group B.

Acid Derivatives

Survey: Were made using Google form and evaluated over three aspects of our educational platform. For this survey, were planned 15 open answer questions.

Offered questions on the last to surveys had one purpose: to look for deeper opinions from participants and to define their view stand about educational innovative strategies applied. Tables S1-S2 share some of the answers.

Table S2. Open questions answers about validation survey aspect.

Students Perception

13. Which positive/negative aspects you have on present academic initiative, according to tested activities previously done along the semester.

Some of the answers*

R1

I believe this gaming dynamic to learn nomenclature is a good one because in my opinion, I learned a lot about organic compounds nomenclature.

R2

I think is a good form to encourage study without being monotonous or boring. It becomes a very fan way to learn and evaluate.

R3

I think this kind of strategy is just great. Along the time we have been doing this kind of activity I have improved in the way to name this type of compounds and learned additional information.

R4

I only have positive aspect to highlight. Since activities started, they’ve been useful to boost what we had in class. I liked it a lot because it clarified many doubts about nomenclature.

R5

A solid idea that over time Will improve itself, allowing for students who haven’t had seen these theme could have a much more friendly approach when learning through games. It helps keeping knowledge and clearly will be reflected along all class courses.

* Selected student’s comments were written as exact as answered by them.

Table S3. Open questions answers about validation aspect.

Students’ perception

14. Would you like for strategies like this were applied as teaching or evaluation methods during class course progress? Why?

Some answers*

R1

Yes, because it helps and brings safety when answering a question. It not only helps to boost knowledge but helps to give clarity when answering test moments.

R2

Yes, because is less boring and complex when teaching and evaluating one or more topics. It separates from classic and becomes interesting.

R3

Yes, because there are different and is very attractive to us young people.

R4

Yes. As a didactic resource is very entertaining because we can interact with another partner and allow us a learning in a clearer way instead of monotonous from this subject.

R5

Yes. To be honest I would like that my teachers were more aware of the process we pace, and if they see a mistakes, they will teach us from it, and to be ablw to fix it like we did here. Also, ludic activities are where we can learn the most. We need to work in teams to help one another.

* Selected student’s comments were written as exact as answered by them.

Final Evaluation

Questions on table S4 were applied as evaluation test on control and experimental groups. They interact during 20 min. in a ludic environment on Quizziz platform. Main goal was to evaluate differences on IUPAC organic nomenclature learned between students using educational innovative methodology against traditional teaching approach.

Table S4. Organic structures organization and IUPAC naming used as test’s questions for evaluation*.

Q

Chem. Structure

Possible chemical names

Q

Chem. Structure

Possible chemical names

Q1

3-methyl-5-isopropylnonane

Q6

2-alcoxyhexane

5-isopropyl-3-methylnonane

5-ethoxyhexane

5-isopropyl-7-methylnonane

2-ethoxyhexane

Q2

(2Z)-3-methyl-2-hexene

Q7

1-methyl-1-chlorocyclohexane

(2E)-3-methyl-2-hexene

1-methyl-1-chlorocyclohexyl

(4Z)-4-methyl-4-hexene

1-chloro-1-methylcyclohexane

Q3

3,6-dimethyloctyne

Q8

2-hydroxy-3-oxo-5-pentanal

3,6-dimethyl-7-octyne

4-hydroxy-3-oxopentanal

6-ethyl-3-methylheptyne

2-hydroxy-5-oxo-3-pentanone

Q4

Toluene

Q9

2-oxohexanoic acid

1-ethyl-1,3,5-cyclohexatriene

formylhexanoic acid

Ethylbenzene

2-butyl-3-oxopropanoic acid

Q5

3-methyl-2-pentanol

Q10

N-ethylbutanamide

1,2-dimethyl-1-butanol

Ethylpropanamide

3-ethyl-2-butanol

N-ethylpentanamide

* The boxes highlighted in gray have the correct answers.

Quizziz platform testing screenshot

Figure S12. Quizziz platform screenshot where evaluative test was taken.

References

Abdul Rahim, A. S. (2022). Mirror Mirror on the Wall: Escape a Remote Virtual Stereochemistry Lab Together. Journal of Chemical Education, 99(5), 2160–2167. https://doi.org/10.1021/acs.jchemed.2c00050

Abraham, L., and Queijeiro, A. V. (2020). Drivers of Curriculum Change in the Related papers Investigación Educativa. 2–14.

Allan, H. T., O’Driscoll, M., Simpson, V., and Shawe, J. (2013). Teachers’ views of using e-learning for non-traditional students in higher education across three disciplines [nursing, chemistry and management] at a time of massification and increased diversity in higher education. Nurse Education Today, 33(9), 1068–1073. https://doi.org/https://doi.org/10.1016/j.nedt.2012.04.003

Athavan Alias Anand, S. (2021). Flipped pedagogy: Strategies and technologies in chemistry education. Materials Today: Proceedings, 47, 240–246. https://doi.org/https://doi.org/10.1016/j.matpr.2021.04.133

Buendía-Atencio, C., Pieffet, G. P., and Lorett Velásquez, V. P. (2022). WERNER: A Card Game for Reinforcement Learning of Inorganic Chemistry Nomenclature. Journal of Chemical Education, 99(5), 2198–2203. https://doi.org/10.1021/acs.jchemed.2c00166

Christiansen, M. A. (2021). Chapter 8 - Flipped chemistry in multisite IVC courses: A possible model for the future of virtual chemistry education (F. M. Fung and C. B. T.-T.-E. B. L. E. for C. E. and O. Zimmermann (eds.); pp. 117–132). Elsevier. https://doi.org/10.1016/B978-0-12-822879-1.00008-1

Cipagauta, M., Saavedra Camacho, Y. N., and Castro Camelo, A. (2021). The blog as a teaching strategy to strengthen the basic concepts of organic chemistry: Types of bond and functional groups. EDUTECH REVIEW. International Education Technologies Review / Revista Internacional de Tecnologías Educativas, 8(1 SE-Research articles), 37–48. https://doi.org/10.37467/gka-revedutech.v8.2932

Dabke, R. B., Shelton, K. L., and Melaku, S. (2022). Interlocking Toy Building Blocks as Teaching Modules for an Undergraduate Organic Chemistry-Based Course for Allied Health Majors. Journal of Chemical Education. https://doi.org/10.1021/acs.jchemed.1c01245

Daza Pérez, E. P., Gras-Marti, A., Gras-Velázquez, À., Guevara, N. G., Togasi, A. G., Joyce, A., Mora-Torres, E., Pedraza, Y., Ripoll, E., and Santos, J. (2009). Experiencias de enseñanza de la química con el apoyo de las TIC. Educación Química, 20(3), 320–329. https://doi.org/10.1016/S0187-893X(18)30032-6

de Souza, R. T. M. P., and Kasseboehmer, A. C. (2022). The Thalidomide Mystery: A Digital Escape Room Using Genially and WhatsApp for High School Students. Journal of Chemical Education, 99(2), 1132–1139. https://doi.org/10.1021/acs.jchemed.1c00955

Figueiredo, M., Neves, J., Gomes, G., and Vicente, H. (2016). Assessing the Role of General Chemistry Learning in Higher Education. Procedia - Social and Behavioral Sciences, 228, 161–168. https://doi.org/10.1016/j.sbspro.2016.07.024

Gabriela Caroline Kroth, Bianca Isabel Bender, Eduardo Augusto Schneider, Wolmar Alipio Severo Filho, and Jane Herber. (2022). A aprendizagem de Química em meio a pandemia de Covid-19, período de 2021: Chemistry learning in the midst of the Covid-19 pandemic, 2021 period. STUDIES IN EDUCATION SCIENCES, 2(3 SE-Articles), 266–272. https://doi.org/10.54019/sesv2n3-015

Gutierrez Mosquera, A., and Barajas Perea, D. S. (2019). Incidencia de los recursos lúdicos en el proceso de enseñanza-aprendizaje de la Química Orgánica I . In Educación química (Vol. 30, pp. 57–70). scielomx .

Hernandez, A., Lau, M., Grueiro, I., Aviles, E., Jauregui, U., and Guzman, F. (2016). Implementación del uso de mapas conceptuales en la química orgánica a través de seminarios. Revista Cubana de Química, 28(2), 572–578. http://www.redalyc.org/articulo.oa?id=443546334004%0ACómo

Hernández Garces, A., Lau-González, M., Avilés Rodríguez, E., Jauregui-Haza, U., and Guzmán-Martínez, F. (2015). Estrategia didactica para la vinculacion de los contenidos de las disciplinas quimica organica y preparacion para la defensa. Pedagogía Universitaria, 20, 99+. https://link.gale.com/apps/doc/A466783560/IFME?u=anon~17d7aabbandsid=googleScholarandxid=ab0bd722

Hernández, M. R., Rodríguez, V. M., Parra, F. J., and Velázquez, P. (2014). LAS TECNOLOGÍAS DE LA INFORMACIÓN Y LA COMUNICACIÓN (TICs) EN LA ENSEÑANZA-APRENDIZAJE DE LA QUÍMICA ORGÁNICA A TRAVÉS DE IMÁGENES, JUEGOS Y VIDEO . In Formación universitaria (Vol. 7, pp. 31–40). scielocl .

Herrera Beltrán, D., and Mosquera Suarez, C. (2021). Estrategia didáctica sobre la enseñanza contextualizada del concepto de isometía en la química orgánica desde una mirada histórica, filosófica y epistémica de las ciencias. Tecné, Episteme y Didaxis: TED, Número Extraordinario SE-. https://revistas.pedagogica.edu.co/index.php/TED/article/view/15466

Hofer, S. I., Nistor, N., and Scheibenzuber, C. (2021). Online teaching and learning in higher education: Lessons learned in crisis situations. Computers in Human Behavior, 121, 106789. https://doi.org/10.1016/j.chb.2021.106789

Jääskä, E., and Aaltonen, K. (2022). Teachers’ experiences of using game-based learning methods in project management higher education. Project Leadership and Society, 3, 100041. https://doi.org/10.1016/j.plas.2022.100041

Lapitan, L. D. S., Tiangco, C. E., Sumalinog, D. A. G., Sabarillo, N. S., and Diaz, J. M. (2021). An effective blended online teaching and learning strategy during the COVID-19 pandemic. Education for Chemical Engineers, 35, 116–131. https://doi.org/10.1016/j.ece.2021.01.012

Likert, R. (1932). A technique for the measurement of attitudes / by Rensis Likert. [s.n.].

Liu, Y., Song, Y., and Wang, X. (2022). Increasing Preservice Science Teachers’ Climate Change Knowledge, Hope, and Self-Efficacy in an Online Chemistry Course. Journal of Chemical Education. https://doi.org/10.1021/acs.jchemed.2c00074

Londero Balza, A. (2014). Incidencia del uso de videos educativos como herramienta didáctica en los aprendizajes de química orgánica en los estudiantes del quinto año del Liceo Bolivariano Hilario Pizani Anselmi del Municipio Motatán - estado Trujillo. Universidad de Los Andes.

Luis, C. E. M., Mellado, R. C., and Díaz, B. A. (2013). PBL Methodologies with Embedded Augmented Reality in Higher Maritime Education: Augmented Project Definitions for Chemistry Practices. Procedia Computer Science, 25, 402–405. https://doi.org/10.1016/j.procs.2013.11.050

Maila-Álvarez, V., Figueroa-Cepeda, H., Pérez-Alarcón, E., and Cedeño-López, J. (2020). Estrategias lúdicas en el aprendizaje de la nomenclatura química inorgánica. Cátedra, 3(1 SE-Educación), 59–74. https://doi.org/10.29166/10.29166/catedra.v3i1.1966

Martínez-Argüello, L. D., Hinojo-Lucena, F. J., and Díaz, I. A. (2018). Aplicación de las Tecnologías de la Información y la Comunicación (TIC) en los Procesos de Enseñanza- Aprendizaje por parte de los Profesores de Química . In Información tecnológica (Vol. 29, pp. 41–52). scielocl .

Nappa, N., Pandiella, S., Diaz, L. B., Quiroga Tello, G. M., and Herrera, N. E. (2021). APRENDIZAJE INVERTIDO EN PRÁCTICOS VIRTUALES DE LABORATORIO DE QUÍMICA EN LA FORMACIÓN DOCENTE. Tecné, Episteme y Didaxis: TED, Número Extraordinario SE-, 819–824. https://revistas.pedagogica.edu.co/index.php/TED/article/view/15198

NOURI, R., and Rahimi Meroei, R. (2021). Using Games in Teaching Organic Chemistry. RESEARCH IN CHEMISTRY EDUCATION, 3(1 #p001324), 101–123. https://www.sid.ir/en/Journal/ViewPaper.aspx?ID=836090

Peralta-Benítez, H., Ballbé-Valdés, A. M., and Peralta-Ballbé, N. (2021). El método del aula invertida en las asignaturas de Química para especialidades biomédicas y diagnósticas. MediCiego, 26(4), 2838. https://bit.ly/43Z5DE0

Porto, V. A., Costa, V. F. da S., Soares, I. S., and PORTO, R. S. (2020). Application of Gaming as Strategy for Teaching Organic Nomenclature in a Brazilian Public School. International Journal Education and Teaching (Pdvl) Issn 2595-2498, 3(3), 189–200. https://doi.org/10.31692/2595-2498.v3i3.141

Sousa Lima, M. A., Monteiro, Á. C., Melo Leite Junior, A. J., De Andrade Matos, I. S., Alexandre, F. S. O., Nobre, D. J., Monteiro, A. J., and Da Silva Júnior, J. N. (2019). Game-Based Application for Helping Students Review Chemical Nomenclature in a Fun Way. Journal of Chemical Education, 96(4), 801–805. https://doi.org/10.1021/acs.jchemed.8b00540

Thibaut, D., and Schroeder, K. T. (2022). Design of a Semester-Long Case-Based Active Learning Curriculum for Medical Biochemistry Courses During COVID-19. Journal of Chemical Education. https://doi.org/10.1021/acs.jchemed.1c01126

Tikva, C., and Tambouris, E. (2021). A systematic mapping study on teaching and learning Computational Thinking through programming in higher education. Thinking Skills and Creativity, 41, 100849. https://doi.org/10.1016/j.tsc.2021.100849

Torres S., M. I. (2010). La Enseñanza Tradicional de las Ciencias Versus las Nuevas Tendencias Educativas. Revista Electrónica Educare, XIV(1), 131–142. http://www.revistas.una.ac.cr/index.php/EDUCARE/article/view/1515

Valdez, E. C., Acuña, M. G., and Sosa, N. M. (2011). INNOVANDO EN LOS TRABAJOS PRACTICOS DE QUÍMICA ORGÁNICA. UTILIZACIÓN DEL APRENDIZAJE BASADO EN PROBLEMAS COMO ESTRATEGIA DIDÁCTICA. Avances en Ciencias e Ingeniería, 2(1), 89–96. https://www.redalyc.org/articulo.oa?id=323627681009

Watson, G. H. (2001). Problem-based learning and the three Cs of technology. The Power of Problem-Based Learning, 109–117.

Zaragoza Ramos, E., Orozco Torres, L. M., Macías Guzmán, J. O., Núñez Salazar, M. E., Gutiérrez González, R., Hernández Espinosa, D., Navarro Villarruel, C. L., de Alba Ritz, M., Villalobos Díaz, R. M., Gómez Torres, N. A., Cerda Vázquez, R. I., Gutiérrez Hernández, A. D., and Pérez Aviña, K. A. (2016). Estrategias didácticas en la enseñanza-aprendizaje: lúdica en el estudio de la nomenclatura química orgánica en alumnos de la Escuela Preparatoria Regional de Atotonilco. Educación Química, 27(1), 43–51. https://doi.org/10.1016/j.eq.2015.09.005

Zendler, A., and Greiner, H. (2020). The effect of two instructional methods on learning outcome in chemistry education: The experiment method and computer simulation. Education for Chemical Engineers, 30, 9–19. https://doi.org/10.1016/j.ece.2019.09.001



Recepción: 12/09/2022. Aceptación: 21/11/2022


Cómo citar: Arteaga, D., Chavarro Cordoba, M. y Lenis Velasquez, L. A. (2023, abril-junio). Active learning strategies on organic nomenclature using digital tools and collaborative work. Educación Química, 34(2). http://dx.doi.org/10.22201/fq.18708404e.2023.2.83509


[a] Grupo de Investigación Química de Productos Naturales QPN, Universidad del Cauca, Popayán 19003, Colombia.